Northumbria Optical Coatings Ltd

Glossary

Terminology Symbol Definition
Wavelength λ Stated in microns (micrometers, 10-6 metre).
Wavenumber σ Inverse of wavelength, usually specified in cm-1
Centre Wavelength CWL Wavelength at centre of passband measured at 50% of peak transmittance.
Cut On / Cut Off Wavelength cut_on_off.gif Wavelength at which filter begins/ceases to transmit. Usually specified at 5% absolute or 50% of peak transmittance points.
Transmittance T Ratio of transmitted energy to incident energy expressed in percent.
Peak Transmittance peak_transmittance.gif Highest transmittance (occurs at peak wavelength).
Bandwidth FWHM, BW, HBW, HW Width of the passband measured at half the peak transmittance. Expressed in microns or percentage of centre wavelength.
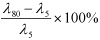
Cut On / Off Slope   A measure or the steepness of the transmittance curve. glossary_equation.gif Where λ80% and λ5% correspond to 80% and 5% of absolute transmittance points.
Blocking or Attenuation   Ability to prevent energy at wavelengths outside the passband being transmitted. Expressed as a percentage of incident energy. Typically less than 0.1% (optical density 3.0).
Reflection R Ratio of reflected energy to incident energy expressed as a percentage.
Absorptance A Ratio of absorbed energy to incident energy expressed as a percentage.
Effective Index effective_index.gif The apparent index of refraction of a substrate plus coating stack.

 

Buy filters online

View our online catalogue

Need a bespoke product?

We have a wide range of filters available for purchase through our online catalogue. If you can’t find the product you need, please click here to contact us and discuss bespoke orders.

Click here to get in touch